
在射出成型的模具试作阶段,通常会基于三维CAD模型进行树脂流动分析,以评估成型性和解决成型缺陷。这些分析通常参考树脂流动分析软件数据库中储存的各种塑料的粘度和热容等物性值。近年来,随着环保型材料的受关注,回收塑料和生物塑料的使用正在扩大。然而,与传统的初生塑料相比,这些塑料的物性更加多变,使用传统成型方法难以保证质量。
为了应对这一问题,一种方法是在制作模具前,通过树脂流动分析确认成型品质。然而,现有的树脂流动分析软件的材料数据库中不包含回收塑料和生物塑料的数据,因此需要新测量这些物性值。另一方面,测量塑料物性值的设备昂贵,这也成为了一个难题。因此,开发一种可以简便测量所需塑料物性值的工具变得迫切。
为了应对这一挑战,我们着手开发一种无需昂贵测量设备即可估算树脂粘度并创建粘度模型的算法及模具。此次开发是与双叶电子工业株式会社的共同开发。在这种模具中装有树脂压力传感器和树脂温度传感器,利用这些传感器获得的数据来估算射出成型机喷嘴通过后的树脂粘度。此技术使得以相对低成本估算树脂粘度模型成为可能。

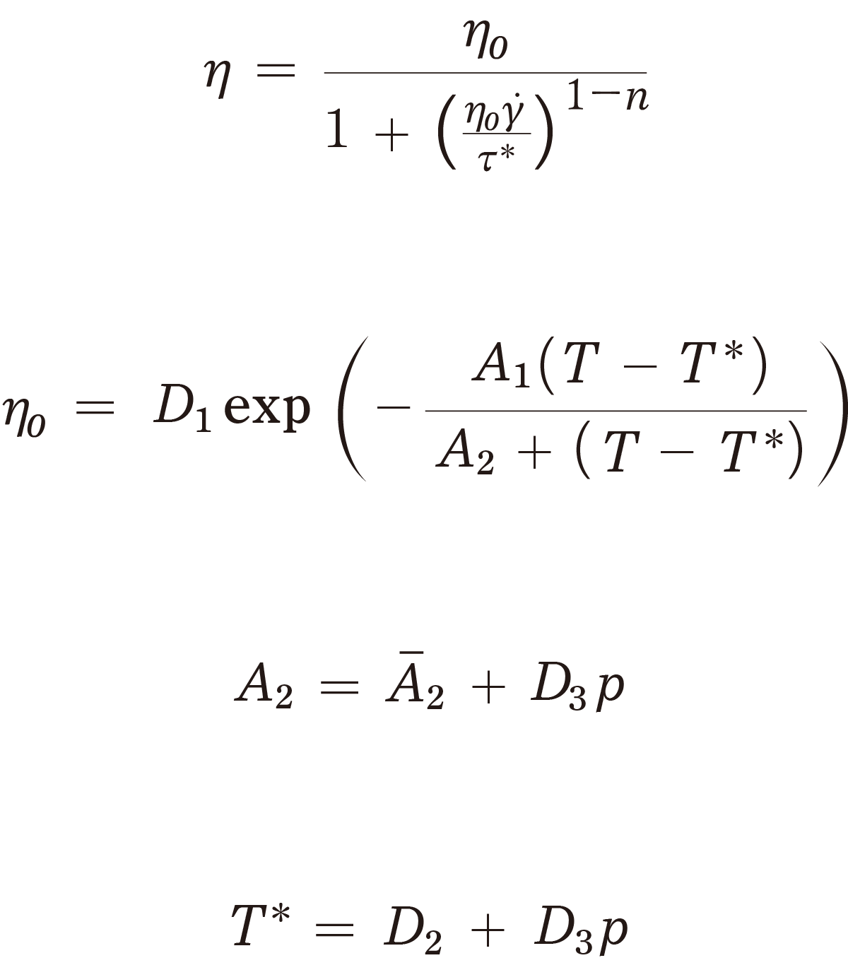
树脂流动分析是求解熔融树脂的运动方程数值解的过程。通过这种分析得到的数值解与实际成型时用树脂压力传感器和树脂温度传感器测量的实测值差异越小,就越能准确捕捉到实际现象,从而进行高精度的树脂流动分析。在树脂流动分析中使用的所谓树脂粘度模型是一种表达树脂粘度与压力、温度、速度相关的数学公式,实验数据基于此来估计参数。因此,树脂流动分析的精度很大程度上依赖于树脂粘度的估计精度。

本次我们将使用Cross-WLF模型进行粘度估计。此模型能够考虑温度和剪切率的影响,适用于预测不同条件下的树脂流动性。由于回收塑料和生物塑料的实验数据具有较大的变异性,开发一种对这些变异性有强大鲁棒性的树脂粘度模型参数估计算法显得尤为重要。
在本次共同开发中,双叶电子工业株式会社提供高精度的传感器,而MAZIN公司则利用其在模具内压力数据分析方面的深厚技术积累,构建了基于这些分析的算法。这将有助于开发出高精度的树脂粘度估计用模具,为使用回收塑料和生物塑料的射出成型提供了一个质量保障和成本控制的新途径。